Nội dung bài giảng
- 1. Đồng vị của hạt nhân.
- 2. Khối lượng hạt nhân.
- 3. Cấu tạo hạt nhân. Số khối.
- 4. Khối lượng và năng lượng của hạt nhân. Hệ thức Einstein.
- 5. Động năng của hạt.
- 6. Khối lượng động của hạt. Công thức liên hệ giữa khối lượng và khối lượng nghỉ của hạt nhân.
- 1. Lực hạt nhân.
- 2. Năng lượng liên kết của hạt nhân.
- 3. Năng lượng liên kết riêng của hạt nhân.
- 4. Các định luật bảo toàn trong phản ứng hạt nhân.
- 5. Độ hụt khối của hạt nhân.
- 6. Bảo toàn động lượng trong phản ứng hạt nhân.
- 7. Bảo toàn năng lượng toàn phần trong phản ứng hạt nhân.
- 8. Liên hệ giữa động lượng và động năng.
- 9. Động năng của các hạt thành phần sau phản ứng hạt nhân.
- 10. Tỉ lệ % năng lượng tỏa ra chuyển thành động năng của các hạt thành phần sau phản ứng hạt nhân.
- 11. Các công thức tính năng lượng của phản ứng hạt nhân.
- 1. Các dạng phóng xạ.
- 2. Số hạt nhân và khối lượng hạt nhân bị phân rã.
- 3. Định luật phóng xạ.
- 4. Hằng số phóng xạ.
- 5. Công thức tính số hạt nhân dựa vào hằng số Avogadro.
- 6. Độ phóng xạ của một lượng chất.
- 1. Phản ứng phân hạch.
- 1. Phản ứng nhiệt hạch.
Bài 1: Tính Chất Và Cấu Tạo Hạt Nhân.
1. Đồng vị của hạt nhân.
Phát biểu: Các hạt nhân đồng vị là những hạt nhân có cùng số Z, khác số A, nghĩa là cùng số proton và khác số neutron.
Ví dụ:
Hidro có ba đồng vị là:
- Hidro thường chiếm 99,99% hidro thiên nhiên.
- Hidro nặng , còn gọi là Deuteri , chiếm 0,015% hidro thiên nhiên.
- Hidro siêu nặng , còn gọi là Triti ; hạt nhân này không bền, thời gian sống của nó khoảng 10 năm.
2. Khối lượng hạt nhân.
Phát biểu: Để tính toán được khối lượng hạt nhân, người ta đã định nghĩa một đơn vị đo mới. Đơn vị này gọi là đơn vị khối lượng nguyên tử, kí hiệu là .
Quy ước: Đơn vị có giá trị bằng khối lượng nguyên tử của đồng vị .
Lưu ý: Các hạt nhân có khối lượng rất lớn so với khối lượng của electron; vì vậy khối lượng nguyên tử tập trung gần như toàn bộ ở hạt nhân.

3. Cấu tạo hạt nhân. Số khối.
Phát biểu: Hạt nhân được tạo thành bởi hai loại hạt là proton và neutron; hai loại hạt này có tên chung là nucleon.
Chú thích: : kí hiệu hóa học của nguyên tố
: số thứ tự của nguyên tử trong bảng tuần hoàn (nguyên tử số)
: tổng số nucleon trong một hạt nhân (số khối)
Số neutron trong hạt nhân là .
Ví dụ:

Một số hạt sơ cấp:
4. Khối lượng và năng lượng của hạt nhân. Hệ thức Einstein.
Trong đó:
: năng lượng của hạt nhân (năng lượng nguyên tử)
: khối lượng tương ứng của hạt nhân
tốc độ ánh sáng trong chân không.
Đổi:
Quy ước:

5. Động năng của hạt.
Chú thích:
: năng lượng nghỉ
: năng lượng của hạt
: động năng của hạt
: tốc độ ánh sáng trong chân không
6. Khối lượng động của hạt. Công thức liên hệ giữa khối lượng và khối lượng nghỉ của hạt nhân.
Phát biểu: Một vật có khối lượng khi ở trạng thái nghỉ thì khi chuyển động với tốc độ , khối lượng sẽ tăng lên thành .
Chú thích:
: khối lượng nghỉ của hạt
: khối lượng động của hạt
vận tốc của hạt
: tốc độ ánh sáng trong chân không
Bài 2: Năng Lượng Liên Kết Của Hạt Nhân. Phản ứng Hạt Nhân.
1. Lực hạt nhân.
Khái niệm: Lực hút giữa các nucleon trong hạt nhân để hạt nhân bền vững được gọi là lực hạt nhân.
Lực hạt nhân không có cùng bản chất với lực tĩnh điện hay lực hấp dẫn. Lực này cũng được gọi là lực tương tác mạnh.
Lực hạt nhân chỉ phát huy tác dụng trong phạm vi kích thước hạt nhân .
2. Năng lượng liên kết của hạt nhân.
Phát biểu: Năng lượng liên kết của một hạt nhân được tính bằng tích của độ hụt khối của hạt nhân với thừa số .
Năng lượng liên kết là năng lượng tỏa ra khi kết hợp các nucleon thành hạt nhân, còn gọi là năng lượng tối thiểu để phá vỡ hạt nhân.
Chú thích:
: năng lượng liên kết của hạt nhân
: độ hụt khối của hạt nhân ,
hệ số tỉ lệ, với là tốc độ ánh sáng trong chân không.
3. Năng lượng liên kết riêng của hạt nhân.
Phát biểu: Năng lượng liên kết riêng là thương số giữa năng lượng liên kết và số nucleon (số khối). Đại lượng này đặc trưng cho mức độ bền vững của hạt nhân.
Chú thích:
: năng lượng liên kết riêng
: năng lượng liên kết của hạt nhân
: số khối
Lưu ý:
- Hạt nhân có năng lượng liên kết riêng càng lớn thì càng bền vững.
- Các hạt nhân có gọi là các hạt nhân trung bình rất bền vững.
4. Các định luật bảo toàn trong phản ứng hạt nhân.
Phát biểu: Có 2 loại phản ứng hạt nhân:
- Phản ứng hạt nhân tự phát (quá trình phóng xạ).
- Phản ứng hạt nhân kích thích (quá trình phân hạch,...)
Tương tự như các quá trình tương tác cơ học của các hạt, các phản ứng hạt nhân cũng tuân theo các định luật bảo toàn.
1. Bảo toàn điện tích:
(các số có thể âm)
2. Bảo toàn số nucleon (bảo toàn số khối )
(các số luôn không âm)
Chú ý: Số hạt neutron không bảo toàn.
3. Bảo toàn năng lượng toàn phần.
4. Bảo toàn động lượng.
5. Độ hụt khối của hạt nhân.
Phát biểu: Khối lượng của một hạt nhân luôn nhỏ hơn tổng khối lượng của các nucleon tạo thành hạt nhân đó. Độ chênh giữa hai khối lượng đó được gọi là độ hụt khối của hạt nhân.
Chú thích:
: độ hụt khối của hạt nhân
: số proton
: số neutron
: khối lượng của proton và neutron
: khối lượng của hạt nhân
Trong đó:
6. Bảo toàn động lượng trong phản ứng hạt nhân.
Chú thích:
: khối lượng của các hạt thành phần trước khi xảy ra phản ứng hạt nhân, lần lượt ứng với
: khối lượng của các hạt thành phần sau khi xảy ra phản ứng hạt nhân, lần lượt ứng với
Đơn vị tính: .
Lưu ý:
Với
Với
Trường hợp đặc biệt:
7. Bảo toàn năng lượng toàn phần trong phản ứng hạt nhân.
Với
Chú thích:
: khối lượng của các hạt thành phần trước khi xảy ra phản ứng hạt nhân, lần lượt ứng với và động năng
: khối lượng của các hạt thành phần sau khi xảy ra phản ứng hạt nhân, lần lượt ứng với và động năng
Đơn vị tính của
8. Liên hệ giữa động lượng và động năng.
Chứng minh:
Chú thích:
: động lượng ứng với hạt có vận tốc và khối lượng
: động năng ứng với hạt có vận tốc và khối lượng
9. Động năng của các hạt thành phần sau phản ứng hạt nhân.
Chú thích:
là các hạt thành phần trước phản ứng hạt nhân.
là các hạt thành phần sau phản ứng hạt nhân.
là năng lượng của phản ứng hạt nhân
lần lượt là khối lượng và động năng tương ứng.
10. Tỉ lệ % năng lượng tỏa ra chuyển thành động năng của các hạt thành phần sau phản ứng hạt nhân.
Chú thích:
là các hạt thành phần trước phản ứng hạt nhân.
là các hạt thành phần sau phản ứng hạt nhân.
là năng lượng của phản ứng hạt nhân
lần lượt là khối lượng và động năng tương ứng.
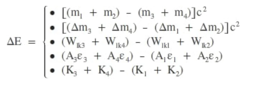
11. Các công thức tính năng lượng của phản ứng hạt nhân.

Quy ước:
thì phản ứng tỏa năng lượng.
thì phản ứng thu năng lượng.
Bài 3: Phóng Xạ.
1. Các dạng phóng xạ.
Khái niệm: Phóng xạ là quá trình phân rã tự phát của một hạt nhân không bền vững, đồng thời phát ra các tia phóng xạ và biến đổi thành hạt nhân khác. Trong đó, hạt nhân tự phân rã gọi là hạt nhân mẹ, hạt nhân được tạo thành sau phân rã gọi là hạt nhân con.
Đặc điểm:
- Có bản chất là một quá trình biến đổi hạt nhân.
- Có tính tự phát và không điều khiển được.
- Là một quá trình ngẫu nhiên.
Phóng xạ :
Hạt nhân mẹ phân rã thành hạt nhân con , đồng thời phát ra tia phóng xạ theo phản ứng sau:
Tia là dòng các hạt nhân chuyển động với tốc độ vào cỡ Quãng đường đi được của tia trong không khí chừng vài centimeter và và trong vật rắn chừng vài micrometer.
Phóng xạ :
Phóng xạ là quá trình phát ra tia . Tia là dòng các electron .
Thực chất trong phân rã còn sinh ra một hạt sơ cấp (gọi là phản hạt neutrino).
Phóng xạ :
Phóng xạ là quá trình phát ra tia . Tia là dòng các positron . Positron có điện tích và khối lượng bằng khối lượng electron. Nó là phản hạt của electron.
Thực chất trong phân rã còn sinh ra một hạt sơ cấp (gọi là hạt neutrino).
- Hai quá trình phóng xạ và phát ra các hạt và chuyển động với tốc độ xấp xỉ tốc độ ánh sáng, tạo thành các tia và . Các tia này có thể truyền đi được vài meter trong không khí và vài milimeter trong kim loại.
Phóng xạ :
Hạt nhân chuyển từ trạng thái kích thích về trạng thái có mức năng lượng thấp hơn và phát ra bức xạ điện từ , còn gọi là tia . Các tia có thể đi qua được vài meter trong bê tông và vài centimeter trong chì.
Tia có khả năng đâm xuyên lớn hơn nhiều so với tia
So sánh đặc điểm giữa tia :
- Trong điện trường:
+ Tia bị lệch về phía bản tụ dương.
+ Tia lệch nhiều hơn tia , trong đó tia lệch về phía bản tụ dương và tia lệch về phía bản tụ âm.
+ Tia không bị lệch trong điện trường đều.
- Khả năng ion hóa:
+ Tia > Tia > Tia
- Khả năng đâm xuyên:
+ Tia < Tia < Tia
2. Số hạt nhân và khối lượng hạt nhân bị phân rã.
Chú thích:
số hạt nhân và khối lượng bị phân rã sau thời gian t
số hạt nhân và khối lượng ban đầu tại
: thời gian phân rã
: chu kì bán rã của hạt
: hằng số phóng xạ
3. Định luật phóng xạ.
Phát biểu: Số hạt nhân phân rã của một nguồn giảm theo quy luật hàm số mũ.
Chú thích:
số hạt nhân và khối lượng còn lại vào thời điểm t.
số hạt nhân và khối lượng ban đầu tại
: thời gian phân rã
: chu kì bán rã của nguyên tử, cứ sau mỗi chu kì này thì 1/2 số nguyên tử của chất ấy đã biến đổi thành một chất khác.
hằng số phóng xạ
4. Hằng số phóng xạ.
Khái niệm: Mỗi chất phóng xạ được đặc trưng bởi hằng số được gọi là hằng số phóng xạ.
Chú thích:
: hằng số phóng xạ
: chu kì bán rã của hạt nhân
5. Công thức tính số hạt nhân dựa vào hằng số Avogadro.
Chú thích:
: số hạt nhân ứng với khối lượng chất
: khối lượng chất
: số khối của nguyên tử
6. Độ phóng xạ của một lượng chất.
Chú thích:
: độ phóng xạ của một lượng chất hạt nhân sau thời gian t
: độ phóng xạ ban đầu của một lượng chất hạt nhân tại t=0
: số hạt nhân tại thời điểm t
: chu kì bán rã của hạt nhân
: hằng số phóng xạ
Đổi đơn vị:
Bài 4: Phản ứng Phân Hạch.
1. Phản ứng phân hạch.
Khái niệm: Phân hạch là phản ứng trong đó một hạt nhân nặng vỡ thành hai mảnh nhẹ hơn (hai hạt nhân trung bình), kèm theo một vài neutron phát ra. Phản ứng phân hạch là phản ứng tỏa năng lượng, đồng thời cũng gây ô nhiễm môi trường (phóng xạ).
VD:
- Mỗi hạt nhân khi phân rã tỏa năng lượng khoảng
- Một vài nhiên liệu cơ bản của công nghiệp năng lượng hạt nhân: .
- Các sản phẩm của phân hạch là những hạt nhân chứa nhiều neutron và phóng xạ
Bài 5: Phản ứng Nhiệt Hạch.
1. Phản ứng nhiệt hạch.
Khái niệm: Phản ứng nhiệt hạch là phản ứng trong đó hai hạt nhân nhẹ tổng hợp lại thành một hạt nhân nặng hơn. Phản ứng nhiệt hạch là phản ứng tỏa năng lượng, là nguồn gốc năng lượng của hầu hết các vì sao. Thường chỉ diễn ra với các hạt nhân có số khối
VD:
Điều kiện để có phản ứng nhiệt hạch xảy ra:
- Nhiệt độ cao (khoảng 50-100 triệu độ).
- Mật độ hạt nhân trong plasma phải đủ lớn.
- Thời gian duy trì trạng thái plasma phải đủ lớn.
Đặc điểm:
- Tính theo mỗi một phản ứng thì phản ứng nhiệt hạch tỏa ra năng lượng ít hơn phản ứng phân hạch, tính theo khối lượng nhiên liệu thì phản ứng nhiệt hạch tỏa ra năng lượng nhiều hơn.
- Sản phẩm của phản ứng nhiệt hạch sạch hơn (không có tính phóng xạ), không gây ô nhiễm môi trường.